Egzamin
Krótkofalarski
Egzamin
Krótkofalarski
Zestaw
Pytań
Nowy
Stary
Gość
Gość
Zaloguj się
Zarejestruj
Zestaw Pytań
Nowy
Stary
WSZYSTKIE
RADIOTECHNIKA
BHP
PROCEDURY I ZWYCZAJE OPERATORSKIE
PRZEPISY DOTYCZĄCE RADIOKOMUNIKACYJNEJ SŁUŻBY AMATORSKIEJ
RADIOTECHNIKA
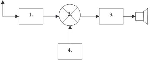
191.
Na rysunku przedstawiono schemat blokowy odbiornika homodynowego CW i SSB, na jedno pasmo amatorskie. Blok 4 to:
a.
filtr wejściowy
b.
wzmacniacz akustyczny
c.
heterodyna
Następne
Losowe