RADIOTECHNIKA

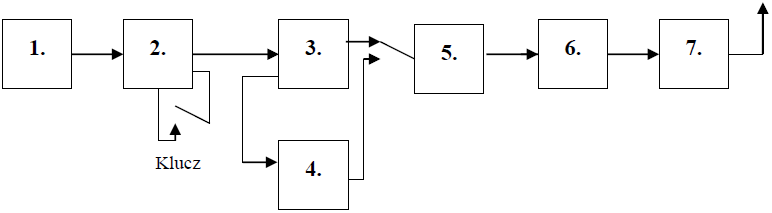
205. Na rysunku przedstawiono schemat blokowy nadajnika telegraficznego na kilka pasm amatorskich z powielaniem częstotliwości. Blok 2 to: